はじめに
こちらの記事は、以下の記事に関連する計算式の紹介になります。もし、本編の記事を読んでいない場合には、まずそちらをご覧ください。
回収日数の計算式
LPトークンを2Sステークし、LPトークンのペアのうち、片方の価値がa倍(a < 1)になった場合の、M日後の損益を考えます。なおLPトークンのペアのうち、片方はステーブルコインであり価格変動がないとします。
2S : 元本
k : LPトークンのステークによる1日当たりの利益率
まず、M日後の元本の増減は、以下のようになります。※こちらのサイトを参考にしています。

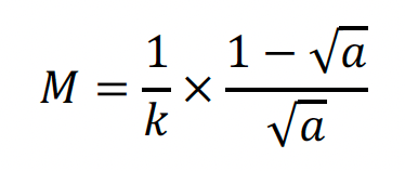
また、M日後のLPトークンをステークすることで得られる利益は、以下のようになります。

なお、LPトークンをステークして得られる利益は、「ステークしているLPトークンの時価 × 利益率」であり、M日後までの価格の推移によって変化するため、ここではステークと同時に価格がa倍になり、その後ずっと価格変動がないと仮定しています。(価格がa倍以上減少しないと仮定した時に得られる最小の利益を計算しています)
よって、M日後の資産の増減は、以下のようになります。

増減が0となるのは、以下の場合になります。

以上が、回収日数の求め方になります。
なお、トークン単体をステークする場合の考え方についても、上記のLPトークンの場合とほぼ同じになりますので割愛いたします。
この考察の欠点(本編記事の再掲)
注意していただきたいのが、こちらで紹介した考察は理論上の話であり、実際に運用する上では必ずしも成立するとは限りません。また、逆にこれより短い期間で元本が回収できる場合も少なからず起こります。
別ページに求め方を掲載していますので、そちらを見てもらうと分かるかと思いますが、以下のような欠点があります。
- 1日当たりの利益率を一定として計算している
- トークンの価格がステークと同時に下落したと想定している(利益が少ない想定で試算している)
2つ目の内容について、利益が少ないケースを想定した方がよいと考えたため、そのようにしています。そのため、価格がなだらかに下落した場合には、この式で求まる日数よりも短い日数で元本を回収できます。逆に、価格が一時的に想定よりも下落し、そこから想定していた減少率まで価格が上昇した場合、この式で求まる日数よりも元本の回収に日数がかかる可能性があります。
おわりに
この記事は、運用利益を高めることを考えたときの参考になればという考えから考察したものになります。そもそも論として、そのような価格変動が大きいと考えられるものに投資しないというのが正しいのかもしれません。ただ、外的要因(現在の中国恒大の債務不履行問題や各国の仮想通貨規制の動向など)により価格が変動することはありますし、言ってしまえば仮想通貨全般が価格変動が大きい分野ですので、目安として試算することは大事だと思います。
もし計算式が間違っていたり、よりよい考え方をお持ちの方がいらっしゃいましたら、是非ともコメントやTwitterなどでご意見を伺わせていただければと思います。
